118新英雄彩蛋:触手小怪兽 懂得薛定谔定律
摘 要
国外机智的小伙伴NewbornMuse发现了一个新英雄彩蛋,在118新英雄的演示视频中,发现了虚空之眼维克兹的嘲讽动画出现公式,有可能是“薛定谔定律的公式” 。
以下是演示视频:
以下是维克兹列出公式时的截图,这是一段火星文字公式:
维克兹的其中一个嘲讽动作就是列出这个公式
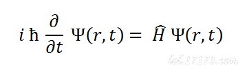
以下是“薛定谔定律公式”:
看起来会不会很像?
玩家NewbornMuse给出的理由是:
1.“拳头”是一家喜欢埋彩蛋的公司
2.这个片段看起来像是d/dt的类型
3.两个括号的内容是一样的
小百科:
薛定谔方程可以分为"含时薛定谔方程"与"不含时薛定谔方程"两种。含时薛定谔方程与时间有关,描述量子系统的波函数怎样随着时间演化。不含时薛定谔方程与时间无关,描述定态量子系统的物理性质;该方程的解就是定态量子系统的波函数。量子事件发生的概率可以用波函数来计算,其概率幅的绝对值平方,就是量子事件发生的概率密度。
薛定谔猫(英语:Erwin Schrödinger's Cat)是奥地利物理学者埃尔温·薛定谔于1935年提出的一个思想实验,时常会被表述为一个吊诡。通过这思想实验,薛定谔指出了应用量子力学的哥本哈根诠释于宏观物体会产生的严峻问题,以及这问题与物理常识之间的矛盾。在这思想实验里,由于先前发生事件的随机性质,猫会处于生存与死亡的叠加态。
如何向文科生浅显易懂的讲解薛定谔的猫?
在向你心仪的女神表白之前,你不知道她到底是喜欢你还是不喜欢你,也许连她自己都不是很明确,这时候她对你的感情就处于"喜欢+不喜欢"状态,或者叫薛定谔猫态。 在你表白之后,这个状态就坍缩成"我也喜欢你"和"你是个好人"两种确定的不同的状态,其概率取决于你是高帅富还是吊丝等诸多因素。或者是,在一个宇宙中,你们俩幸福地抱在了一起;而在另一个平行宇宙中,你回家看了个*****。
相关阅读:
最新资讯
- 07-29Meiko谈成为世运会火炬手 是一次非常…
- 03-23Breathe对阵Bin连输12场 难求一胜成…
- 12-18电竞发展加速 拥有全球3亿受众的云顶…
- 12-18512位赛手齐聚中国澳门八位弈士脱颖…
- 12-16云顶之弈全球执行制作人公布 全球玩…
- 12-15从联盟走到云顶我走了五年 云顶之弈…
- 12-15五年一剑直击冠军 云顶之弈中国澳门…
- 12-14妖妖现场:云顶之奕从设计走到公开赛…
- 12-14妖妖现场:云顶之奕不朽英雄与多元化…
- 12-13妖妖现场:云顶之奕双城之战2赛季制…
论坛精品
- 11-14活动:亮出你的大神标志 小伙伴轻松…
- 11-10喜迎LOL进入S5赛季 新赛季活动征集正…
- 09-03论坛水神大赛落幕 各位获奖选手发表…
- 09-03知识百科:符文页的15/16攻击力之谜
- 08-21新手基础攻略课——浅谈走砍
- 08-21英雄联盟2014世界总决赛宣传片
- 08-21每日话题:版本更新大嘴、大树来两刀…
- 08-21要刚正面了?PE战队内部已然爆炸
- 08-01体验服噩梦人机数局初探,小经验
- 08-01新的全特效皮肤---电玩女神好运姐





